Python 画流程图
1 3 流程图
Python Importlib 原碼追蹤 前情提要 By Clyde Wu Medium
Python 1 網頁爬取資料流程 聚沙成塔 點部落
Python之初識函數 It閱讀
Python使用graphviz画流程图过程解析 Python 脚本中心 编程客栈
Python零基础入门猜数字游戏的流程图 Python交流 技术交流区 鱼c论坛
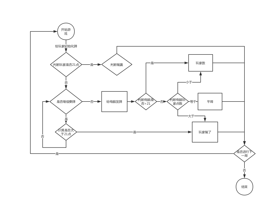
做了一个python 2 3 处理字符串的流程图 V2ex
Python作业用户登录 Day01 汪汪小喵咪 博客园
Python If Else条件语句详解
朝阳药店销售数据分析python流程图 Ai量化百科 Ai量化投资社区 Bigquant
流程圖說明
Myippin8kciu M
Python 游戏 滑动拼图slide
从if开始语句的征程 零基础学python
While迴圈 輕鬆學python 3 零基礎彩色圖解 專業入門
流程圖說明
例外處理的語法 輕鬆學python 3 零基礎彩色圖解 專業入門
Python的range函数与for循环语句 编程微课
Python3循环语句 Python入门到精通 掘金
Python编程前的最重要步骤 Raptor流程图软件使用入门 手机网易网
Python第二十一天 昨天没写完作业
根据randomstr Java 使用类型转换生成六位验证字符串 Weixin 的博客 Csdn博客 Python 利用数据类型转换生成6位验证码
爬取百万github用户数据 查找谁才是python大牛 运行
Python Break 语句 菜鸟教程
Python有程序可以画流程图吗
Python程序员 手把手入门一个简单的python系统 没有不会的 每日头条
Haley Hu S Blog
Python基础教程 Flask进击篇 Flask运行流程
少儿python基础 4 流程控制语句 少儿编程教程网
Python For和while 循环嵌套及用法
Python基础教程第01章之第课 交作业要求以及画流程图 Youtube
Python程式練習5 模擬計算器 Itw01
流程圖說明
一 Python入门 4控制语句 02单分支选择结构 条件表达式详解 Osc K2izfh4z的个人空间 Oschina
Python编程从0到1 笔记3 欧几里得算法 阿里云开发者社区
Python 文件读写 条件循环 三次登录锁定账号实例 Weixin 的博客 Csdn博客
Python 爬蟲練習紀錄 四 Ivankao的部落格 痞客邦
Python系统学习流程图 教你一步步学习python 云栖社区
Python 简单流程控制 Lampjia 博客园
Python流程图怎么画 第1页 一起扣扣网
It 邦幫忙 一起幫忙解決難題 拯救it 人的一天
If判斷式 輕鬆學python 3 零基礎彩色圖解 專業入門
Python基础01之流程控制 山林骏 博客园
Python编程前的最重要步骤 Raptor流程图软件使用入门 手机网易网
Python For循环 酷python
10 Python条件判断语句 一 知乎
Python如何画流程图 酷python
Python算法与流程图 第1页 要无忧健康图库
Python冒泡排序流程图 第1页 一起扣扣网
Python第七天 作业 购物车 莫柔落切 博客园
流程圖說明
Python 流程控制 If For While Vincen Shen 博客园
Python猜数字编程 H5 Processon免费在线作图 在线流程图 在线思维导图
Python学习笔记3 Python的流程控制 小零 Xiao0 博客园
Python如何画流程图 酷python
Python流程图绘制弹簧模具设计五金力计算 设计之家
一個地球人在臺北 Python 基本語法
第一期python 程式設計入門共學營作業任務九
Python For 循环语句用法详解 365学习 365建站网
如何在 Networkx 中使用 Pos 参数来创建流程图样式的graph Python 3 It屋 程序员软件开发技术分享社区
Python分段函数流程图 第1页 要无忧健康图库
Python Nowcoder最大公约数 斐波那契数列 台部落
Python 3 Hackmd
Python For 循环语句 菜鸟教程
迭代法python流程图 第1页 一起扣扣网
流程圖 Temp Material
Python调用graphviz绘制流程图 Graphviz 画
程序员必知的七个图形工具 Issue 18 Phodal Articles Github
Python实现简单登陆流程的方法 Python 脚本中心 编程客栈
当我尝试在gnuradio流程图中导入python函数时 收到消息 错误导入语法 Python黑洞网
Python 游戏 数字推理游戏bagels Python 萬仟网
Python实现石头剪刀布程序 编程十万个怎么办
Python爬虫工作基本流程以及常用的urllib模块 壹读
Python爬虫基本流程及常用的urllib模块 知乎
Python的循环语句 编程微课
Python基础 Day02 3
Python实现的复杂的计算器的代码
51testing软件测试网 软件测试人的精神家园
迭代法python流程图 第1页 一起扣扣网
Python進階技巧 5 Python 到底怎麼被執行 直譯 編譯 字節碼 虛擬機看不懂 By Jack Shiba 整個程式都是我的咖啡館 Medium
怎么用python画lte信令流程图 知乎
经验模态分解 Emd 方法的python实现 Weijifen000的博客 Csdn博客
Python 一键转化代码为流程图 Python学习q群 Csdn博客 Python 一键转化代码为流程图
网络爬虫详解与python实现 Strike Freedom
Python学习第74课 Git流程图
質數判斷演算法
Python 流程控制 迴圈基礎 While 迴圈 For 迴圈by 彭彭 Youtube
Fchart程式設計教學工具 Blockly中文離線版
基于python Flask详述oauth 2 0 的运作流程 云 社区 腾讯云
Day1 初识python Python 萬仟网手机版
客户信息python爬虫流程 墨痕
4 1 Python中的循环语句 Micro Bit 中文教程
Python 用于从excel数据创建流程图的python算法
高性能可扩展的python自动化运维框架 作业 51reboot
三十八 Python操作mysql数据库 详解
Python 一键转化代码为流程图 知乎
将流程图转换为python代码 战舰专用ai Thinbug
解析python登录接口及流程图 码农之家
Python模拟选课系统 夜猫子 51cto博客
Python流程图图片大全 Uc今日头条新闻网


